بوت استرپینگ – تعریف، فرآیند و مثال ها Bootstrapping
بوت استرپینگ (Bootstrapping)
بوت استرپینگ (Bootstrapping) فرآیند ایجاد یک شرکت یا ایجاد یک تجارت از پایه و فقط با استفاده از پس انداز شخصی است.
کلمه bootstrapping
کلمه bootstrapping برای نشان دادن هر اقدامی که بر اساس خود شروع می شود استفاده می شود. با این وجود، جدا از حوزه تجاری یا مالی، بوت استرپینگ همچنین مخفف یک روش تحقیقی است که برای تخمین نوعی از آمار جمعیت با نمونه برداری از مجموعه ای از داده ها با جایگزینی یا جانشینی استفاده می شود.
بوت استرپینگ – تعریف، فرآیند و مثال ها
بوت استرپینگ (Bootstrapping) فرآیند ایجاد یک شرکت یا ایجاد یک تجارت از پایه و فقط با استفاده از پس انداز شخصی است. این فرآیند تولد یک شرکت از صفر است و در این فرآیند، تنها سرمایه گذاری پس انداز شخصی، درآمد عملیاتی یا پول نقد حاصل از اولین فروش و خوش شانسی است.

Bootstrapping
یک مدل بوت استرپ (bootstrap model) کنترل کامل کسب و کار را به کارآفرین یا مالک ارائه می دهد تا همه تصمیمات را بگیرد، اما ممکن است فشار مالی را نیز افزایش دهد.
همچنین وقتی صحبت از روش بوت استرپینگ در آمار و علم داده می شود، به روشی به منظور نتیجه گیری برای یک جامعه با استفاده از نتایج مجموعه ای از نمونه های تصادفی کوچکتر از همان جامعه اشاره می کند. این کار از طریق جایگزینی در طی فرآیند نمونه برداری بوت استرپ انجام می شود.
این روش های بوت استرپ در آمار، نقاط داده و آزمایش فرضیه نیز به مفاهیم بوت استرپ فوق الذکر مرتبط است، زیرا بوت استرپ یک نمونه منفرد به منظور نتیجهگیری برای جمعیت بزرگ تر به نمونه های کوچک تر از خود متکی است.
بوت استرپینگ در یادگیری ماشینی
فرآیند ایجاد نمونه بوت استرپینگ
روش هایی برای بوت استرپینگ فواصل اطمینان
مثال و نمونه هایی از بوت استرپینگ
بوت استرپینگ چیست؟
تعریف : بوت استرپینگ به وضعیتی گفته می شود که در آن شخصی با سرمایه یا درآمد عملیاتی خود شرکتی را بدون سرمایه گذاری خارجی راه اندازی می کند. همچنین با روشی مرتبط است که برای محاسبه منحنی بازده بدون کوپن از شکل بازار استفاده می شود.

تعریف : بوت استرپینگ
کلمه bootstrapping برای نشان دادن هر اقدامی که بر اساس خود شروع می شود استفاده می شود. با این وجود، جدا از حوزه تجاری یا مالی، بوت استرپینگ همچنین مخفف یک روش تحقیقی است که برای تخمین نوعی از آمار جمعیت با نمونه برداری از مجموعه ای از داده ها با جایگزینی یا جانشینی استفاده می شود.
تاریخچه روش بوت استرپینگ
در اوایل قرن نوزدهم، بوت استرپینگ با این عبارت ظاهر شد: ” pulling up by one’s bootstraps – بالا کشیدن بوسیله یک بوت استرپ”.
در زمان های قبل، آن را دستاوردی میدانستند که به هر حال هرگز امکانپذیر نبود، اما بعداً در نوعی استعاره ظاهر شد که نشاندهنده موفقیت بدون هیچ کمک خارجی بود.
موارد استفاده از بوت استرپینگ
بوت استرپینگ در زمینه های مختلفی استفاده می شود مانند :
بوت استرپینگ در علم آمار و داده
Bootstrapping همچنین به عنوان یک روش آماری درک می شود که نمونه برداری مجدد از یک مجموعه داده واحد را برای ایجاد بسیاری از نمونه های شبیه سازی شده انجام می دهد. این شما را قادر می سازد تا خطاهای استاندارد را محاسبه کنید، به علاوه به شما کمک می کند فواصل اطمینان ایجاد کنید و آزمایش فرضیه را برای انواع مختلف آمار نمونه انجام دهید.
روش های بوت استرپ به عنوان تکنیک های جایگزین برای آزمون فرضیه های سنتی درک می شوند. به دلیل توانایی آن در درک آسانتر و معتبر بودن برای سایر شرایط مهم است. در بخش آمار و علم داده، bootstrapping مخفف چیزی است که محتمل تر و متمایزتر به نظر می رسد.
این روشی است که از طریق آن نتیجه برای جامعه از خروجی هایی استنتاج می شود که می توان بر اساس مجموعه ای از نمونه های تصادفی کوچکتر در مورد آن جامعه ساخت.
در طول این فرآیند، جایگزینی یا جانشینی اعمال می شود. به عنوان مثال، برای تخمین میانگین قد افراد در سراسر جهان، بخش کوچکی با استفاده از توزیع نمونهگیری بوت استرپ اندازهگیری میشود، زیرا هرگز نمیتوان قد هر فرد را به صورت جداگانه اندازهگیری کرد.
توزیع نمونه در اینجا با هر آزمون یا معیاری مرتبط است که از نمونهگیری تصادفی یا داده های نمونه با جایگزینی استفاده میکند و در دسته وسیعتری از روشهای نمونهگیری مجدد قرار میگیرد. بوت استرپ ، هر توزیع نمونه گیری آماری را با کمک روش های نمونه گیری تصادفی تخمین می زند.
بوت استرپینگ در یادگیری ماشینی
هر زمان که مدلی از یادگیری ماشین بر اساس داده های بوت استرپ ساخته می شود، مدل دستور العمل هایی را در مورد آنها دریافت می کند. پس از آن، روی داده هایی که به نظر خارج از کیسه هستند آزمایش می شود.
این تکنیک نمونهگیری مجدد برای تخمین آمار یک جمعیت با نمونه برداری از مجموعه داده با جایگزینی استفاده میشود. در یادگیری ماشینی ، بوت استرپینگ برای تخمین مهارت مدل های یادگیری ماشین برای پیشبینی داده هایی که در داده های آموزشی گنجانده شدهاند، استفاده میشود. برای تخمین خطاهای استاندارد و همچنین محاسبه فواصل اطمینان بوت استرپ استفاده می شود.
در مجموع می توان از روش بوت استرپ برای دستیابی به اهداف زیر استفاده کرد:
-
تخمین فاصله اطمینان بوت استرپ
-
آزمون فرضیه
-
حذف انحراف
فرآیند ایجاد نمونه بوت استرپینگ
همانطور که در بالا مورد بحث قرار گرفت، بوت استرپینگ در آمار و علم داده برای تخمین مقادیر در مورد یک جمعیت با گرفتن میانگین تخمین ها از نمونه های کوچک مختلف داده ها استفاده میشود.

Bootstrapping
روش ایجاد بوت استرپینگ یک نمونه حول مراحل زیر می چرخد:
-
انتخاب حجم نمونه
-
زمانی که حجم نمونه کمتر از اندازه انتخاب شده باشد
-
به طور تصادفی یک مشاهده از مجموعه داده ها انتخاب کنید
-
آن را در نمونه قرار دهید.
استفاده از روش بوت استرپ برای تخمین کمیت یک جامعه با برداشت مکرر نمونه های کوچک و سپس محاسبه آماری انجام می شود تا در نهایت میانگین آمار محاسبه شده را بدست آوریم. فرآیند شامل مراحل زیر است –

بوت استرپینگ در آمار
-
انتخاب چندین نمونه بوت استرپ برای اجرا
-
انتخاب حجم نمونه
-
برای هر یک از نمونه های بوت استرپ
-
رسم نمونه با جایگزینی با اندازه انتخاب شده
-
محاسبه آماری روی نمونه
-
محاسبه میانگین آماری نمونه محاسبه شده
این مراحل بیشتر می تواند برای تخمین مهارت یک مدل یادگیری ماشین استفاده شود.
روش هایی برای فواصل اطمینان
-
بوت استرپ تجربی
این روش فواصل اطمینان بوت استرپ ، تفاوت بین میانگین بوت استرپ شده و میانگین نمونه را به صورت تقریبی نشان میدهد. نماد ریاضی برای Bootstrapping تجربی پیشنهاد شده توسط کتاب ” All of Statistics ” واسرمن :

-
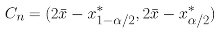
بوت استرپ صدک
“بوت استرپ صدک” به موارد زیر اشاره دارد: از [ˆθ∗α/2,ˆθ∗1−α/2] به عنوان فاصله اطمینان برای θ استفاده کنید. در این شرایط، ما از bootstrapping برای محاسبه تخمینهای پارامتر مورد نظر استفاده میکنیم و صدکهای این تخمینها را برای فاصله اطمینان میگیریم.

-
بوت استرپ نرمال
این روش برای بوت استرپ فواصل اطمینان استفاده می شود، فواصل اطمینان را برای ابزارهای بوت استرپ خود محاسبه میکند. فرمول محاسبه بوت استرپ نرمال :

بوت استرپ نرمال
-
بوت استرپ فاصله ای نرمال
در تکرار تمام مراحل بوت استرپ نرمال نقش دارد و از فرمول ذکر شده در زیر استفاده می کند-

بوت استرپ فاصله ای نرمال
بوت استرپینگ در امور مالی
در امور مالی ، بوت استرپینگ به خودداری از پرداخت بیش از حد کافی و پرداخت زودتر از زمان لازم برای هر چیزی با نگه داشتن سربار پایین اشاره دارد. در این مورد، برخی از تکنیکهای بوت استرپینگ وجود دارد که می توان از آنها استفاده کرد-
-
برای پایین نگه داشتن مبالغ اجاره در ابتدا، اجاره فضا برای کار باید لغو شود. اما زمانی که کارمندان استخدام می شوند، در ابتدا می توان فضای کاری کم هزینه را ترجیح داد.
-
نیازی به تزیین فضای کار با مبلمان یا وسایل گران قیمت نیست. آنهایی که ضروری هستند را می توان برای حفظ وجوه نقد به صورت دست دوم یا اجاره آورد.
-
ایجاد رابطه مبادله با سایر شرکت ها نیز می تواند کمک کننده باشد. به این ترتیب می توان محصولات یا خدمات را در صورت نیاز از آن شرکت ها دریافت کرد.
-
هر زمان که هر عرضه کننده ای تخفیف ارائه می دهد در صورتی که پرداخت زودتر انجام شود، باید با پرداخت در اسرع وقت آن فرصت را در نظر گرفت.
مگر اینکه لازم باشد، باید از فاکتورینگ اجتناب شود زیرا این کار بیش از حد نیاز دارد. اما اگر به دلیل فاکتورینگ مشکلی پیش بیاید، مطالبات مشتریان را می توان به شرکت های دیگری فروخت که نزدیک به 75 تا 90 درصد ارزش اسمی و 2 تا 5 درصد حق سرویس یک فاکتور را ارائه می کنند.
بوت استرپینگ در بازاریابی
در حوزه بازاریابی ، بوت استرپینگ به طور منظم اعمال می شود. در این صورت، می توانید با استفاده از روش های خلاقانه برای تبلیغ محصول یا خدمات خود، در پول خود صرفه جویی کنید. اینجا چند تکنیک وجود دارد که چگونه از بوت استرپینگ در بازاریابی استفاده کنیم ؟

بوت استرپینگ در بازاریابی
استفاده در بازاریابی
- اگر نمونه هایی از محصولات یا خدمات یک شرکت به صورت رایگان به آنها ارائه شود، مشتریان احتمالی بیشتری را می توان جذب کرد. این می تواند هر چیزی باشد، از یک جلسه مشاوره رایگان تا ترکیب های کوچک هدیه.
- اگر تخفیف ها، پاداش ها یا پیشنهاد هایی به خدمات یا محصولات یک شرکت اضافه شود، مشتریان بیشتری به سمت آنها جذب میشوند.
- مهم است که از طریق ایمیل با مشتریان در ارتباط باشید. این امر قابلیت اطمینان مشتریان را در شرکت افزایش می دهد و یک ارتباط قوی بین هر دو ایجاد می کند.
- فرآیند دریافت بازخورد از مشتریان راضی قابل اعمال است. این توصیفات مثبت را می توان در سایر مواد بازاریابی استفاده کرد.
- در این عصر دیجیتالی شدن، حساب های کاربری در پلتفرم های اجتماعی به نوعی ضرورت تبدیل شدهاند. به برقراری ارتباط موثر با مشتریان احتمالی کمک می کند.
- در همان ابتدا، جفت شدن یک کسب و کار یا شرکت با یک یا چند شرکت همسایه می تواند به ارتقای اهداف آن کسب و کار یا شرکت کمک کند.
- حضور در نمایشگاه های صنعتی نیز می تواند کمک کننده باشد. بسیاری از مشتریان بالقوه را می توان در آنجا پیدا کرد. از این رو، رفتن به آنجا نه به عنوان یک غرفه دار که هزینه زیادی دارد، بلکه به عنوان یک مهمان و تعامل با مشتریان می تواند نتیجه خوبی را ارائه دهد.
مزایا و معایب روش بوت استرپ
بوت استرپینگ یک شرکت دارای مزایا و معایبی است.
مزایای بوت استرپینگ
مالک یک شرکت بوت استرپ تمام کنترل شرکت را دارد، بدون اینکه سرمایه گذاران خارجی از بازار خارج شوند.
از آنجایی که از پول از همان ابتدا با مراقبت انجام می شود، به شروع یک عادت عالی و هوشمندانه برای خرج کردن کمک می کند.
شرکت به منبع پول موجود بستگی دارد. تمایل به درخواست وام را کاهش می دهد.
معایب بوت استرپینگ
در صورتی که تقاضا های شرکت در جریان تهیه موجودی ها یا مواد اولیه برای فروش افزایش یابد، رشد آن شرکت یا کسب و کار ممکن است شرایط نامطلوبی را تجربه کند.
از آنجایی که مالک بار مالی را با تقسیم آن با سرمایه گذارانی که می توانند رشد شرکت را با قرار دادن پول نقد افزایش دهند، کاهش نمی دهد، مالک ریسک مالی بزرگی را برای شرکت ایجاد می کند.
مثال و نمونه هایی از بوت استرپینگ
اجازه دهید نگاهی بیندازیم به نمونه هایی از شرکت هایی که از مدل های بوت استرپ کسب و کار پیروی کردند و طعم موفقیت را چشیده اند.
-
Spanx
اسپانکس که یک شرکت تولید لباس های زیر لاغری است توسط سارا بلیکلی با 5000 دلار پس انداز خود در سال 2000 تاسیس شد.
برای صرفه جویی در هزینه های قانونی، او درخواست ثبت اختراع خود را نوشت و ثبت کرد. سپس، در سال 2016، او در اولین فهرست فوربس از ثروتمندترین زنان خود ساخته قرار گرفت.
او هنوز 100% سهام اسپانکس را در اختیار دارد و دارایی او حدود 1 میلیارد دلار است.
-
Electronic Data Systems
Electronic Data Systems توسط راس پرو در سال 1962 با 1000 دلار پس انداز شخصی تاسیس شد. این شرکت به عنوان پیشگام در مدیریت فناوری اطلاعات رتبه بندی شده است.
تا سال 1979، Electronic Data Systems حدود 8000 کارمند و 270 میلیون دلار درآمد سالانه داشت.
در سال 1982 به جنرال موتورز به مبلغ 2.5 میلیارد دلار فروخته شد.
نتیجه!
بوت استرپ یکی از روش ها یا تکنیک هایی است که توسط کار آفرینان و دانشمندان داده به کار می رود. بیشتر برای استنباط نتایج برای یک جمعیت از طریق برخورد با نمونه های کوچکتر و تصادفی جمع آوری شده استفاده می شود.
در مورد کارآفرینان، توجه به مدیریت پول نقد، مخارج، رویارویی با مشتریان، پیشنهادات و غیره می تواند کم کم به پیشرفت شرکت یا کل تجارت کمک زیادی کند.
روش بوت استرپ به طور گسترده ای به عنوان یک ابزار آماری موثر برای تعیین کمیت عدم قطعیت موجود در یک برآوردگر معین یا روش یادگیری آماری استفاده می شود.
نظر شما در مورد اثربخشی روش بوت استرپ در راه اندازی یک کسب و کار موفق چیست؟






دیدگاه خود را ثبت کنید
تمایل دارید در گفتگوها شرکت کنید؟در گفتگو ها شرکت کنید.